Boiledbeans

Drama! Intrigue!! Geekiness!!!

Saturday, July 26, 2008

Unimaginative name

—srikanth @ 00:48

Identify

Cracked by Goyal , Rohan , malcaluffin , sidsen and rajeshvj.

Goyal, Rohan, malcaluffin, sidsen and rajeshvj


6 chars ought to be enough for anyone.

—srikanth @ 21:57

This wildly popular game was based on a real pastime of the author (and also based on a real place).

Fittingly enough, the game’s name (X) led to the name of another activity (Y) (popular at some universities) that was directly derived from this game.

Which game (X), and what is the activity (Y) called?

Almost everyone got the name of the game. No one got the activity…

Mayukh, that is one awesome box! How in the world did you get your hands on a Kaypro?


</GQG>

—srikanth @ 21:56

And with that, we come to the end of the GQG. Hope you liked it, folks.

We will still keep posting contributed questions every now and then so keep sending in your questions to boiledbeans[at]gmail[dot]com


What the Dickens! Stop haunting him...

—srikanth @ 01:27

Proceeding with the GQG, this question comes from akhi.

Identify/Connect/put fundae:

Cracked by Goyal , sidsen , Ananth , Rohan , bobo , varuns88 , insufferablejake and rajeshvj.

Goyal, sidsen, Ananth, Rohan, bobo, varuns88, insufferablejake and rajeshvj


Tuesday, July 22, 2008

Kings from the east.

—srikanth @ 20:53

This (awesome) question comes from sidsen.

Identify and connect the three images:

(Thanks a bunch for all the questions, mate! Really great stuff! I had a hard time picking one…)

Cracked by: Goyal, Tathagata Chatterjee , Guneet , udupendra , gammafunction , Rohan , duriel , malcaluffin and rajeshvj.

Goyal, Tathagata Chatterjee, Guneet, sidsen, udupendra, gammafunction, Rohan, duriel, malcaluffin and rajeshvj


Monday, July 21, 2008

Twin sisters would've been _much_ more interesting

—srikanth @ 23:40

The GQG goes on! This question is from duriel.

Identify the character in (1) and the old chap on the left in (2).

Also, who/what did (1) eventually become?

Only (partially) cracked by Tathagata Chatterjee!

duriel and Tathagata Chatterjee


Sunday, July 20, 2008

I'm afraid I can't let you do that...

—srikanth @ 21:35

(On with the GQG - This question comes from shenoyvarun86)

Who is this famous computer scientist, and what term did he coin?

Here’s a clue to narrow in on the term a bit: the man caricatured below wanted to make a movie about it, but couldn’t.

Cracked by sidsen , Goyal , Rohan , udupendra , insufferablejake , Guneet , Srivats , gudanggurum , bobo , rajeshvj , Atul Mathew , duriel , malcaluffin , jayanth , gammafunction and Tathagata Chatterjee.

sidsen, Goyal, Rohan, udupendra, insufferablejake, Guneet, Srivats, Gurupad, bobo, rajeshvj, Atul Mathew, duriel, malcaluffin, jayanth, gammafunction and Tathagata Chatterjee


Saturday, July 19, 2008

Quiz oddity

—srikanth @ 21:00

(Carrying on with the GQG - Here’s a question from jayanth )

Who’s the guy in the pic below and what did he win?

Clue:

Cracked by rajeshvj , akhi , insufferablejake (nice catch! I didn’t notice it…) , Rohan , gudanggurum , svgreatest , Dibyo , Apurva , Atul Mathew , udupendra , duriel , malcaluffin , sidsen and Goyal.

rajeshvj, akhi, insufferablejake, Rohan, Gurupad, svgreatest, Dibyo, Apurva, Atul Mathew, udupendra, duriel, malcaluffin, sidsen and Goyal


Friday, July 18, 2008

Eureka?

—srikanth @ 21:33

(Question from Dibyo)

Oceanography got a boost from a storm that hit in Jan 1992. The flow of events is depicted in this image:

What happened during the storm?

Cracked by WikiWaki , sidsen , gudanggurum , Srivats , Guneet , rajeshvj , akhi , malcaluffin , insufferablejake , madhur , Ananth and shenoyvarun86.

WikiWaki, sidsen, Gurupad, Srivats, Guneet, rajeshvj, akhi, malcaluffin, insufferablejake, madhur, Ananth, shenoyvarun86 and Dibyo


Thursday, July 17, 2008

Too good to be true

—srikanth @ 21:04

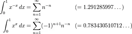
(Question sent in by Udupendra. Thanks a lot amigo!)

Connect the equation (x + y)n = xn + yn to these identities:

Cracked by Goyal , p vs np , Ajay Parasuraman , Rohan , insufferablejake , Tathagata Chatterjee , gammafunction , sidsen , malcaluffin , rajeshvj , Srivats and shenoyvarun86.

udupendra, Goyal, p vs np, Ajay Parasuraman, Rohan, insufferablejake, Tathagata Chatterjee, gammafunction, sidsen, malcaluffin, rajeshvj, Srivats and shenoyvarun86